电话:0531-58766946
传真:0531-82779282
地址:济南市历城区洪家楼南路1号聚隆广场2号楼1519-1520室

苏云金杆菌又称苏云金芽孢杆菌,英文名称:Bacillus thuringiensis(B.t.)为了方便都将B.T.写成BT或Bt,故Bt即苏云金杆菌的简称。
中文名称:苏云金芽孢杆菌
其它中文名称:苏云金杆菌、
英文名称:Bacillus thuringiensis(B.t.);
拉丁名 :Bacillus thuringiensis(B.t.)、 BT或Bt
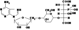
化学名称:β-外毒素
相对分子量:(按1994年国际相对原子质量计):625.9
分子式:C22H32N5O16P
结构式:

熔点(℃): 略
生物活性:杀虫
稳定性:芽孢和晶体在pH5~6环境中最稳定,晶体大小为0.5mol/L NaOH溶液中1~2 h可全部溶解,120℃可杀死芽孢
作用机理:当害虫蚕食了伴孢晶体和芽孢之后,在害虫的肠内碱性环境中,伴孢晶体溶解,释放出对鳞翅目幼虫有较强毒杀作用的毒素。这种毒素使幼虫的中肠麻痹,呈现中毒症状,食欲减退,对接触刺激反应失灵,厌食,呕吐,腹泻,行动退缓,身体萎缩或卷曲。一般对作物不再造成危害,经一段发病过程,害虫肠壁破损,毒素进入血液,引起败血症,同时芽孢在消化道内迅速繁殖,加速了害虫的死亡。死亡幼虫身体瘫软,呈黑色。所以,害虫只有把Bt细菌吃到肚子里,再经过一个发病过程,才能死掉,大约48小时方能达到杀灭害虫的目的,虽然没有化学农药作用迅速,但染病后的害虫,上吐下泻,不再取食,不再危害作物。
毒性 : 低毒。
用途:
本系列产品可用于防治鳞翅目、膜翅目、双翅目、鞘翅目的多种害虫,防治对象包括三十余种农林害虫,如森林松毛虫、十字花科蔬菜菜青虫、小菜蛾、棉花二代棉铃虫、烟草烟青虫、枣树枣尺蠖、茶树茶毛虫、水稻稻纵卷叶螟、玉米螟、棉铃虫、茶毛虫、烟青虫、尺蠖等防效较好。该药为生物农药安全性高无药发生,药效稳定,对环境污染小,对温血动物天敌较安全。
贮运:
1、本品应贮存在低于25℃的干燥、阴凉、通风、防雨的仓库中,防止暴晒和潮湿,远离火源或热源。
2、置于儿童触及不到之处,并加锁,孕妇和哺乳期妇女避免接触。
3、不能与食品、饮料、粮食、饲料等其他商品同贮同运。
4、用过的容器应妥善处理,不可做他用,也不可随意丢弃。
使用注意事项:施药时,应穿长袖衣裤,戴口罩,避免吸入雾滴。
产品质量保证期:二年
包装规格:25KG/袋,25KG/桶。
版权所有:济南富森生物化工有限公司 电话:0531-58837128 技术支持:千庆网络 ICP备案编号:鲁ICP备20031497号-1