电话:0531-58766946
传真:0531-82779282
地址:济南市历城区洪家楼南路1号聚隆广场2号楼1519-1520室

中文名称:春雷霉素
其它中文名称:
英文名称:kasugamycin;
其它英文名称:kasumin;kasurabcide;kasumin-bordeaux;KSM
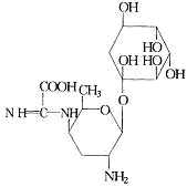
化学名称:(5-氨基-2-甲基-6-(2,3,4,5,6-羟基环己基氧代)四氢吡喃-3-基)氨基-α-亚氨醋酸
相对分子量:379.17
分子式:C14H25N3O9
结构式:

熔点(℃):236~239(分解);盐酸盐:202~204(分解)
性状:纯品为白色片状或针状结晶,无嗅味稍甜,熔点202-204(分解),溶于水,不溶于甲醇、乙醇、丙酮、苯、氯仿等有机溶剂,水溶液呈酸性(PH4-6)在酸性溶液中(PH5以下)性质稳定,在碱性溶液中易分解失效。原粉(含有效成份65%)为棕色粉未。

对人、畜、家禽的急性毒性均低。大白鼠急性经口毒性22000mg/kg,小白鼠急性经口服至死中量为20000mg/kg,兔则为20900mg/kg。对鱼、虾贝类的安全,无植物药害。
用途:在农业上作为内吸性杀真菌剂,主要用于防治稻瘟病(包括苗瘟、叶瘟、穗颈瘟),对稻瘟病有预防及治疗作用,有效浓度为40ppm与稻瘟净滥用,可将防治效果提高到97%,还可延缓抗药菌株的产生。还可以用于防治黄瓜的炭疽病、角斑病、枯萎病;西红柿的叶霉病、灰霉病;甘蓝黑腐病;柑橘流胶病等经济作物的真菌病害。还可防治其它如葡萄、茶树等经济作物的病害。
包装规格:200KG、25KG
版权所有:济南富森生物化工有限公司 电话:0531-58837128 技术支持:千庆网络 ICP备案编号:鲁ICP备20031497号-1