电话:0531-58766946
传真:0531-82779282
地址:济南市历城区洪家楼南路1号聚隆广场2号楼1519-1520室

中文名称:阿维菌素
其它中文名称:灭虫丁;灭虫灵;阿巴丁;螨虫素;7051杀虫素;齐螨素;爱福丁;克螨灵; 爱弗菌
英文名称:Abamectin
其它英文名称:Mixture of Avermectin B1a and Avermectin B1b; Affi
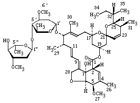
化学名称:2,42,7-三羟基-1-甲基-8-亚甲基赤霉-3-烯-1,10-二羟基-1,42-内酯。
CAS号: 71751-41-2
相对分子量:873.09(B1a)/859.06 (B1b)
分子式:C48H72O14(B1a)•C47H70O14(B1b)
结构式:

性状:原药为白色或黄色结晶(含B1a80%,B1b<20%),蒸气压<200nPa,熔点150- 155℃,21℃时溶解度在水中7.8微克/升、丙酮中100g/L、甲苯中350g/L、异丙醇 70g/L,氯仿25g/L常温下不易分解。在25 ℃,pH5-9 的溶液中无分解现象。
用途:阿维菌素是目前我国常用的一种农药杀虫剂,对线虫、昆虫和螨虫均有驱杀作用,可用于治疗畜禽的线虫病、螨和寄生性昆虫病。另外阿维菌素对柑橘、蔬菜、棉花、苹果上的害虫防治效果很好。
阿维菌素对昆虫和螨类具有触杀和胃毒作用并有微弱的熏蒸作用,无内吸作用。但它对叶片有很强的渗透作用,可杀死表皮下的害虫,且残效期长。它不杀卵。其作用机制与一般杀虫剂不同的是它干扰神经生理活动,刺激释放γ-氨基丁酸,而γ-氨基丁酸对节肢动物的神经传导有抑制作用,螨类成、若螨和昆虫与 幼虫与药剂接触后即出现麻痹症状,不活动不取食,2-4天后死亡。因不引起昆虫迅速脱水,所以它的致死作用较慢。但对捕食性和寄生性天敌虽有直接杀伤作用,但因植物表面残留少,因此对益虫的损伤小。对根节线虫作用明显。
包装规格:25KG /桶
版权所有:济南富森生物化工有限公司 电话:0531-58837128 技术支持:千庆网络 ICP备案编号:鲁ICP备20031497号-1